近日,williamhill中文助理教授孙雅及其团队的论文“国家组织冠脉支架带量集采对患者医疗负担的影响”在《世界经济》发表。团队其他成员为威廉官网中国同济医学院医药卫生管理学院的刘智勇教授,日本经济产业省经济产业研究所的殷婷教授和williamhill中文的提俊琛同学。


“看病难、看病贵”是中国突出的社会问题之一。过度医疗是导致医疗卫生费用快速增长的一个重要原因。长期以来,在粗放式追求业务收入的运行机制下,公立医院倾向于通过不合理的“大处方”、“多检查”等方式弥补医疗服务项目定价上的亏损,从而造成了“以药养医”和“以械养医”的局面。为了打破公立医院对高值医用耗材收入的高度依赖,国家医疗保障局在2020年11月首次启动了冠脉支架的集中带量采购,将价格从每枚1.3万元骤降至平均700元,降幅超过93%。本文通过评估国家组织冠脉支架带量集采,回答如下问题:国家组织冠脉支架带量集采的初衷是减轻患者医疗负担、遏制过度医疗,这一政策是否达到了预期的效果?若未能达到政策初衷,背后的原因是什么?
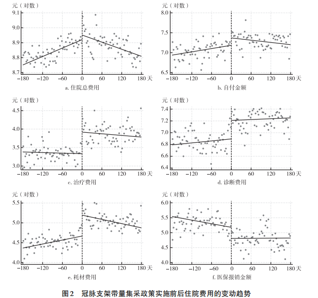
本文利用断点回归设计和医疗行政数据评估了国家组织冠脉支架带量集采对患者医疗负担的影响。研究发现:冠脉支架带量集采未能降低心脏病患者住院总费用和自付金额。与此同时,医院还提高了入院患者接受冠脉造影和血管内超声检查的概率,增加了药物球囊的使用数量。此外,针对医院等级进行的异质性分析发现,三级医院对冠脉支架带量集采的反应更大。由于其拥有较强的市场势力,可通过改变诊疗行为和诊疗策略应对政策变化。



该文的政策启示主要体现在以下两个方面:
第一,过度医疗已严重威胁医疗事业的健康发展,其根本原因在于公立医院的逐利机制和医患双方的信息不对称。在现行的行政市场化模式下,公立医院在追求利润的同时,无法通过调整价格来实现效益最大化,只能通过增加服务数量来增加利润。在此模式下,更多的价格管控政策,如带量集采、药品零加成政策等,不仅不能在医保、患者及医院之间做到激励相容,还会在公立医院逐利动机下,增加不必要的医疗服务。因此,从长期看,深化以公益性为导向的公立医院改革,完善激励约束机制,通过医保支付方式改革引导公立医院合理竞争是改革持续深化的方向。
第二,短期内,应充分发挥医保的战略性购买优势,通过总额预算下的病种(组)改革来有效扼制医疗费用的快速上涨,并规范医院的医疗服务行为,减少不合理的过度医疗行为。同时,政府应扩大带量集采的范围,涵盖更多相关的高值耗材,减少医院通过替代品弥补收入损失的空间,并加强对医保基金监管,防止过度医疗和不必要的高值耗材使用。
相关文章链接:
https://manu30.magtech.com.cn/sjjj/CN/Y2024/V47/I10/124